近日,潘俊锋研究员团队在研究煤矿灾害领域取得重大突破,其研究成果《采动增量静载荷加载下煤层卸压钻孔响应规律及其极限性》为题发表于《采矿与岩层控制工程学报》,引发学术界广泛关注。
值得一提的是,我公司自主研发的《岩体真三轴动静载试验系统》为该团队的成功提供了支持。
摘要
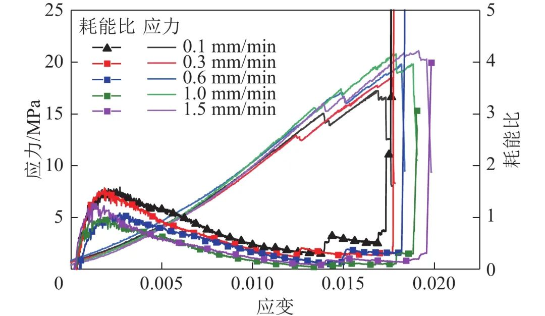
为了探索煤层巷帮大直径预卸压钻孔在工作面超前支承压力等增量静载加载条件下的防冲卸压效应, 采用理论分析、室内试验以及数值模拟等方法, 对采动增量静载加载条件下煤层卸压钻孔响应规律及其极限性进行了研究。理论分析结果表明, 静载加载下, 大直径钻孔二次调整, 破裂区和塑性区发生扩展变化, 降低了增量静载的集中程度, 但随着加载程度的升高, 破裂区煤体逐渐塌落, 碎胀后充满整个钻孔, 自由变形补偿空间减小, 并约束塑性区的扩展, 卸压能力逐渐减弱。室内试验结果表明, 钻孔煤样峰值强度与加载速度具有明显的正相关性; 输入的弹性能和加载速度成正相关; 耗散能与加载速度成负相关。数值模拟结果表明, 随着静载加载速度及应力集中程度的增加, 钻孔卸压区范围和卸压幅度逐渐减小, 钻孔围岩塑性区体积逐渐减小, 卸压区内的峰值弹性能逐渐升高, 钻孔耗散弹性能的能力降低; 引入卸压幅度、应力增幅以及弹性能储能率3个指标, 分析了大直径钻孔的响应卸荷极限性。研究结果可为类似条件下的钻孔卸压方案设计提供参考。

图 1 增量静载加载下大直径钻孔围岩的力学模型

图 2 采动时大直径卸压钻孔静载响应工程模型[22]

图 3 QKX–ZSZ–4000型岩体真三轴动静载试验系统

图 4 声发射监测系统

图 5 预制卸压钻孔煤样规格

图 6 声发射探头布置方式

图 7 静载加载下煤样的力学特性变化

图 8 卸压钻孔静载加载能量响应

图 9 钻孔煤样应力与弹性能耗能比

图 10 增量静载加载前后钻孔变化模拟示意

图 11 大直径钻孔静载加载水平应力云图

图 12 大直径钻孔静载加载垂直应力云图

图 13 大直径钻孔静载加载应力分布曲线

图 14 大直径钻孔静载加载弹塑性区分布

图 15 大直径钻孔静载加载塑性区体积变化

图 16 大直径钻孔静载加载弹性能分布云图

图 17 大直径钻孔静载加载弹性能分布曲线[22]

图 18 大直径钻孔静载应力变化规律

图 19 大直径钻孔静载弹性能变化规律
第一作者简介:

潘俊锋(1979—),陕西旬邑人,研究员,博士生导师,国务院政府特殊津贴专家。入选国家“万人计划”领军人才、“国家百千万人才工程”,被授予“有突出贡献中青年专家”称号。现为煤矿灾害防控全国重点实验室副主任,中国煤炭科工集团一级首席科学家,中煤科工开采研究院总工程师。主要从事冲击地压与矿震、矿井岩层控制与安全高效开采方面研究工作。《煤矿安全规程》、《防治煤矿冲击地压细则》等国家法规、标准主要起草人;主持国家重点基础研究计划 “973”课题、国家自然科学基金、国家重点研发计划课题等13项;完成了70余项煤矿现场冲击地压灾害治理项目。研究成果曾获国家科技进步二等奖1项,省部级一等奖8项,二等奖10项;授权发明专利21项,发表SCI/EI收录论文50余篇,出版专著2部,主持制定国家标准3项。获“孙越崎青年科技奖”、“中国岩石力学与工程学会青年科技奖”、“中国煤炭工业协会杰出青年科技工作者”、“全国杰出工程师青年奖”等荣誉称号。
通讯作者简介:

马宏源(1998—),山东枣庄人,硕士。主要从事冲击地压、矿井岩层控制与安全高效开采方面研究工作。参与国家重点研发计划、国家自然科学基金面上项目等;获得省部级二等奖1项,发表论文10余篇,其中EI收录论文6篇,申请国家发明专利10余项。
扫一扫咨询微信客服